DEM'in Kars vekili Koçyiğit'ten Ermeni diasporasını sevindirecek paylaşım
DEM'in Kars vekili Koçyiğit'ten Ermeni diasporasını sevindirecek paylaşım
Haber Giriş Tarihi: 25.04.2024 05:54
Haber Güncellenme Tarihi: 25.04.2024 05:54
Kaynak:
Haber Merkezi
https://haberdeger.com/
1915 olaylarını “soykırım” olarak niteleyen Koçyiğit, "Bugün Ermeni Soykırımı’nın 109. yıldönümü. 24 Nisan 1915 ‘de başlayan ve bugüne kadar yüzleşilmediği içinde devam eden büyük acının yıl dönümü. Halklar mozaiği olan bu toprakları çoraklaştıran büyük felaketin başladığı gün. Acıların dinmesi ve adaletin sağlanması için yüzleşmek gerekir. Bu ülke halklarının bir arada eşit ve özgür olarak yaşaması için geçmiş acılar ile yüzleşmek gerekir. Soykırımda katledilen Ermeni halkını saygıyla anıyorum." ifadelerini kullandı.Koçyiğit, daha önce de DEM Parti Eş Genel Başkanı Tülay Hatimoğlulları Oruç ile birlikte Ermeni Taşnak Partisi üyeleriyle görüşmüştü.
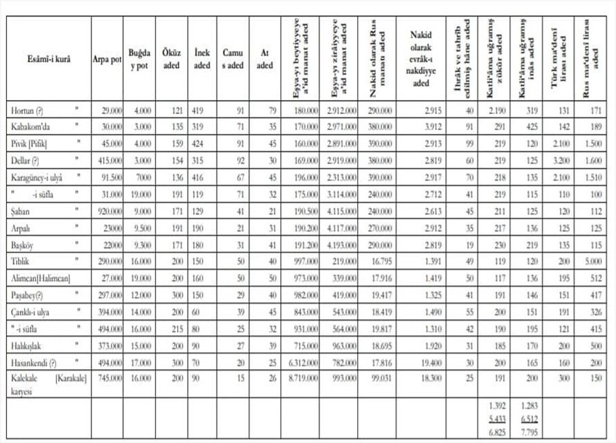
Ermeni Taşnak çetelerinin Kars ve Digor'daki katliamları
30 Ekim 1918’de Mondros Mütarekesi’nin ardından Anadolu’da başlayan işgaller sürecinde Kars’taCenubi Garbi KafkasHükümeti kurulmuştu.
Nisan 1919’da hükümeti dağıtan İngilizler, Ermeni Taşnak çetelerine bölgeyi teslim etmişti.
1918’den 1920 sonbaharına kadar Taşnak çeteleri, bölgedeki binlerce Müslüman Kürt ve Türk ahalinin namusuna tecavüz etmiş ve katliama girişmişti.
Çeteler, Digor’un 38 köyünü yağmalayıp talan etmişti.
Bölgedeki Kürt aşiretlerini yanına çekmek isteyen Taşnak çeteleri, yayınladıkları beyannamelerde Müslüman Türklere karşı Ermeni çeteleriyle Kürt aşiretlerinin birlikte hareket etmesi gerektiğini belirtseler de aşiretler bu durumu kabul etmemiş ve bu nedenle de katliama uğramışlardı.
Daha sonra Taşnak çetelerinin devamı niteliğindeki Asala terör örgütü, 1970 ve 80’li yıllarda 42 diplomatımızı şehit etmişti.
Sizlere daha iyi hizmet sunabilmek adına sitemizde çerez konumlandırmaktayız. Kişisel verileriniz, KVKK ve GDPR
kapsamında toplanıp işlenir. Sitemizi kullanarak, çerezleri kullanmamızı kabul etmiş olacaksınız.
En son gelişmelerden anında haberdar olmak için 'İZİN VER' butonuna tıklayınız.
DEM'in Kars vekili Koçyiğit'ten Ermeni diasporasını sevindirecek paylaşım
Ermeni Taşnak çetelerinin Kars ve Digor'daki katliamları
30 Ekim 1918’de Mondros Mütarekesi’nin ardından Anadolu’da başlayan işgaller sürecinde Kars’ta Cenubi Garbi Kafkas Hükümeti kurulmuştu. Nisan 1919’da hükümeti dağıtan İngilizler, Ermeni Taşnak çetelerine bölgeyi teslim etmişti. 1918’den 1920 sonbaharına kadar Taşnak çeteleri, bölgedeki binlerce Müslüman Kürt ve Türk ahalinin namusuna tecavüz etmiş ve katliama girişmişti. Çeteler, Digor’un 38 köyünü yağmalayıp talan etmişti.En Çok Okunan Haberler